Die bei hohen Geschwindigkeiten auftretende Zeitdilatation wirkt sich auch auf weitere Größen der Mechanik aus. Ein erstes Beispiel ist der Impuls, der ein Maß für die Trägheit eines Körpers ist.
In einem Gedankenexperiment wird ein Auto der
Masse m = 1000 kg betrachtet. Es durchfährt in einem
Bezugssystem S eine Mess-Strecke
gleichförmig in y-Richtung in
. Es hat also die
Geschwindigkeitskomponenten
und
. Mit dieser Geschwindigkeit
prallt das Auto auf eine Bremsvorrichtung, die durch eine
Prallplatte und eine Feder mit der Federkonstanten D
gebildet wird. Beim Abbremsen des Autos wird die Feder um die
Strecke
gestaucht.

Bei der geringen Geschwindigkeit kann nicht-relativistisch gerechnet werden. Die kinetische Energie des Fahrzeugs wird in Spannenergie der Feder umgewandelt:

Daraus ergibt sich
.
Die Größe
ist die y-Komponente
des Impulses des Autos. Die Überlegung zeigt also, dass
die Stauchung der Feder ein Maß für diese Impulskomponente des
Autos ist:
.
Der Vorgang soll nun aus einem Inertialsystem S'
betrachtet werden, das sich mit v = 0,6 c in x-Richtung
bewegt.
Hier hat das Auto zwei Geschwindigkeitskomponenten: ux'
und uy' Die x-Komponente
ist
. Die y-Komponente
ergibt sich wie folgt: Bei der Geschwindigkeit v ist
. Wegen der
Zeitdilatation läuft der Vorgang in S für einen Beobachter in S'
in der Zeit
![]()
ab. Da Strecken senkrecht zur Richtung der Relativbewegung in beiden Systemen gleich gemessen werden, ist
.
In S' erscheint daher die Geschwindigkeit des Autos verringert auf
.
Da in S' die gleiche Stauchung der Feder wie in S beobachtet wird, muss die Impulskomponente py' , die in S' ermittelt wird, mit der Impulskomponente in S übereinstimmen. Setzt man einfach
,
dann ergibt sich uy' = uy, was nicht zutrifft. Dies zeigt, dass bei relativistischen Verhältnissen der Impuls nicht mehr aus dem Produkt von Masse und Geschwindigkeit berechnet werden kann – es ist eine Änderung nötig.
Wie sich bei Zeitdilatation und Längenkontraktion
gezeigt hat, spielt bei relativistischen Verhältnissen der
Gamma-Faktor eine wesentliche Rolle. Es wird daher hier folgender
Ansatz versucht: Bewegt sich ein Körper der Masse m mit
einer Geschwindigkeit
in
einem Inertialsystem, dann wird gesetzt:
![]()
![]()
Dabei ist u der Betrag des
Geschwindigkeitsvektors:
.
In S gilt damit:
und in S':
.
Für die Geschwindigkeit u' des Autos, die in S' registriert wird, ergibt sich:
.
Damit folgt:
.
Dies wird in die Impulskomponente py' eingesetzt:
.
Damit ist die Gleichheit der y-Komponenten der Impulse in S und S' erreicht:
.
Allgemein gilt:
|
Die Masse eines ruhenden Körpers wird als seine Ruhemasse m bezeichnet. Bewegt sich der Körper mit einer
Geschwindigkeit
|
Diese Gleichung für den relativistischen Impuls
lässt sich auch so lesen, dass der relativistische Impuls das
Produkt aus der Geschwindigkeit
des Körpers und seiner relativistischen
Masse ist:
![]()
.
(Für die relativistische Masse werden auch die Bezeichnungen Impulsmasse oder dynamische Masse verwendet.)
Die Gleichung für die relativistische Masse macht deutlich, dass die Masse eines Körpers anwächst, wenn sich seine Geschwindigkeit erhöht. Bei kleinen Geschwindigkeiten sind Ruhemasse m und relativistische Masse mr praktisch gleich. Wenn die Geschwindigkeit u aber in die Größenordnung der Lichtgeschwindigkeit c kommt, verhält sich der Körper aber so, als ob er eine größere Masse, und damit eine größere Trägheit hätte.
Die folgende Tabelle zeigt die Vergrößerung der Trägheit bei verschiedenen Geschwindigkeiten:
![]()
Als Faustregel ist hier abzulesen, dass sich relativistische
Effekte bemerkbar machen, wenn sich Körper schneller als mit 10%
der Lichtgeschwindigkeit bewegen.
Übungen
1. Ein Körper der Ruhemasse m
bewege sich mit einer Geschwindigkeit von 15% der
Lichtgeschwindigkeit. Berechnen Sie die prozentuale Veränderung
.
2. Ein Satellit der Ruhemasse m =
1000 kg bewege sich auf seiner Umlaufbahn um die Erde mit einer
Geschwindigkeit von 28 000 km/h. Berechnen Sie die relativistische
Massenzunahme
.
3. In einer Beschleunigeranlage werden
Elektronen auf die Geschwindigkeit v = 0,999 999 997 c
beschleunigt. Berechnen Sie
das Verhältnis von relativistischer Masse zur Ruhemasse
.
4. Ein Elementarteilchen soll so beschleunigt werden, dass seine relativistische Masse das doppelte, zehnfache, hundertfache seiner Ruhemasse beträgt. Bestimmen Sie die dazu nötigen Geschwindigkeiten v/c.
5. Zeichnen Sie einen Graphen des Impulses p/mc eines Teilchens als Funktion seiner Geschwindigkeit v/c.
6. Berechnen Sie den Impuls eines Elektrons, dass sich mit 99,997% der Lichtgeschwindigkeit bewegt.
7. Ein Elementarteilchen bewegt sich mit
und seine relativistische Masse
beträgt 28,1155 u. Prüfen Sie, ob es sich um ein Proton
handeln könnte.
(u: atomare Masseneinheit;
)
Lösungen
1. 1,144%
2. 0,337 mg
3. 12 910
4. 0,866 ; 0,995 ; 0,99995
5. einige Werte:
|
v/c |
p/mc |
|
0,2 |
0,2041 |
|
0,5 |
0,5774 |
|
0,8 |
1,3333 |
|
0,9 |
2,0647 |
|
0,95 |
3,0424 |
|
0,98 |
4,9247 |
6. ![]()
7. Ruhemasse m = 1,0073 u
Bei Geschwindigkeiten, die klein gegen die Lichtgeschwindigkeit sind, gilt: Die einem Körper zugeführte Energie äußert sich in einer entsprechenden Erhöhung der Geschwindigkeit, während die Masse praktisch konstant bleibt. Bei größeren Geschwindigkeiten tritt neben die Zunahme der Geschwindigkeit eine Zunahme der Trägheit des Körpers. Dies legt die Frage nahe:
Ist Masse eine Erscheinungsform der Energie?
Dazu wird folgende Differenz betrachtet:
.
Wenn die Geschwindigkeit v sehr klein
gegen die Lichtgeschwindigkeit ist, d.h. wenn
ist, kann für den Wurzelterm
folgende Näherung benutzt werden:
.
Damit ergibt sich für die Massendifferenz

Man definiert nun für große Geschwindigkeiten als relativistische kinetische Energie eines Körpers
,
da diese Beziehung für kleine Geschwindigkeiten
in die Beziehung der Newton'schen Mechanik
übergeht.
Der Term
wird als Gesamtenergie
eines Körpers gedeutet und mc2 als Ruheenergie.Damit
gilt:
|
Zwischen der Gesamtenergie E und der Masse eines bewegten Körpers besteht der Zusammenhang
Ein ruhender Körper besitzt die Ruheenergie
Zwischen Gesamtenergie E, Ruheenergie E0 und kinetischer Energie Ekin besteht der Zusammenhang
|
(Eine genaue Herleitung wird im Anhang gegeben.)
Energien, und somit auch die Ruheenergie von Teilchen, werden in der Teilchenphysik in der Einheit eV angegeben. Es istBeispiel:
Die Ruheenergie des Elektrons beträgt

Das Elektron bewege sich mit v = 0,8 c. Dann ist
![]()
Für die Gesamtenergie gilt
![]()
Die kinetische Energie ergibt sich als Differenz aus Gesamtenergie und Ruheenergie:
![]()
Für den Betrag des Impulses erhält man
![]()
Multiplikation mit c:

Damit ergibt sich
![]()
Die Einheit MeV/c ist eine in der
Teilchenphysik gebräuchliche Einheit für den Impuls.
Übungen
1. Wieviel Ruhemasse müsste in Energie
umgewandelt werden, um
a) 1 J zu produzieren,
b) eine 100-Watt-Glühlampe zehn Jahre lang leuchten zu lassen?
2. Zeichnen Sie einen Graphen für die Energie E/E0 eines Teilchens als Funktion seiner Geschwindigkeit v/c.
3. Ein Elektron soll so beschleunigt
werden, dass seine Gesamtenergie das Doppelte seiner Ruheenergie
beträgt.
a) Bestimmen Sie die nötige Geschwindigkeit v/c.
b) Zeigen Sie, dass sein Impuls durch
gegeben ist.
4. In einem älteren Linearbeschleuniger in
Stanford wurden Elektronen auf eine kinetische Energie
von 20,5 GeV beschleunigt. Berechnen Sie die relativistische Masse
dieser Elektronen als Vielfaches der Ruhemasse.
5. Ein Elektronensynchrotron ist ein ringförmiger Beschleuniger für Elektronen. In einer solchen Anlage mit Durchmesser d = 100 m werden Elektronen auf die kinetische Energie 7,5 GeV beschleunigt.
a) Berechnen Sie die Geschwindigkeit der Elektronen.
b) Bestimmen Sie die Länge des Beschleunigertunnels im Ruhesystem der Elektronen.
6. In der kosmischen Strahlung wurden
Protonen mit einer Gesamtenergie bis zu
entdeckt. Die Ruheenergie des
Protons ist rund 938 MeV.
a) Berechnen Sie die Dicke der Erde im Ruhesystem eines Protons mit dieser Energie.
b) Das Alter der Erde ist rund
. Bestimmen Sie das Erdalter im
Ruhesystem eines solchen Protons.
c) Unsere Galaxis hat einen Durchmesser von 105 Lichtjahren. Berechnen Sie die Durchflugzeit für ein solches Proton in Erdzeit und in Eigenzeit des Protons.
7. Bestimmen Sie die Geschwindigkeit eines Protons, das einen Impuls p = 6 GeV/c hat.
8. Ein
Proton (Ruhemasse
) hat
eine Geschwindigkeit von
.
a) Berechnen Sie seine relativistische Masse mr .
b) Berechnen Sie die Ruheenergie, die kinetische Energie und die Gesamtenergie jeweils in den Einheiten J und eV.
c) Vergleichen Sie die spezifische Ladung e/m dieses Protons mit der eines ruhenden Protons.
d) Bestimmen Sie
die Spannung U, durch die das Proton auf
bzw. auf
beschleunigt wird.
Lösungen
1. a)
b) ![]()
2. Einige Werte:
|
v/c |
p/mc |
|
0 |
1,0000 |
|
0,5 |
1,1547 |
|
0,8 |
1,6667 |
|
0,9 |
2,2942 |
|
0,95 |
3,2026 |
|
0,98 |
5,0252 |
|
0,99 |
7,0888 |
3. a) v/c = 0,866 b) -
4. 40 118 me
5. a) v/c = 0,999 999 998 b) L' = 21,4 mm
6. a)
b) t'
= 1,54 d c) tErde = 100 000 a ; tProton
2,958 s
7. v/c = 0,988
8. a)
b) 
c) 
d) U = 1,2207 GV bzw. U = 5,9521
GV
Betrachtet wird die resultierende Kraft, die auf einen Massenpunkt einwirkt und die Arbeit, die durch diese Kraft verrichtet wird. In der Newton'schen Mechanik gilt
.
Die relativistische Verallgemeinerung ist:
.
Im Folgenden wird zur Vereinfachung nur der Fall der geradlinigen Bewegung mit Kraft in Wegrichtung betrachtet. Dafür gilt:
.
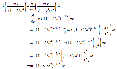
Das Differential ergibt sich wie folgt:

Eingesetzt in das Energieintegral:
.
Dieses Integral kann mit Substitution gelöst werden:


Somit ergibt sich
![]()
Dieser Ausdruck für die kinetische Energie besteht aus zwei Termen. Der erste hängt von der Geschwindigkeit u des Massenpunktes ab, während der zweite Term mc2 unabhängig von der Geschwindigkeit ist und Ruheenergie E0 des Massenpunktes heißt:
![]()
Als relativistische Gesamtenergie wird dann die Summe aus kinetischer und Ruheenergie definiert:
.
Gesamtenergie und Ruheenergie eines Körpers hängen zusammen durch
.
Umstellen nach E0 und quadrieren führt auf
.
Aus den Beziehungen
![]()
ergibt sich ein Zusammenhang zwischen Energie E0 und Impuls p:
.
Einsetzen in die Gleichung für E02 liefert

![]()
![]()
Die Energie E und der Impuls p
eines Körpers nehmen in verschiedenen Inertialsystemen auch
unterschiedliche Werte an. Die Differenz der Quadrate dagegen
besitzt für jeden Beobachter den gleichen Wert (nämlich das
Quadrat der Ruheenergie) und stellt damit – wie schon das
Raum-Zeit-Intervall – eine relativistische Invariante dar. Die
invariante Größe
wird auch als Impuls-Energie bezeichnet.
Übungen
1. Die Energie eines Teilchens ist dreimal so groß wie seine Ruheenergie. Berechnen Sie den Impuls des Teilchens.
2. Die Gesamtenergie eines Teilchens beträgt 5,6 GeV und es hat einen Impuls von 5,5206 GeV/c. Untersuchen Sie, ob es sich um ein Neutron handeln kann.
3. Ein Elektron der Ruheenergie E0 = 0,511 MeV besitze
eine Gesamtenergie von 5 MeV.
a) Berechnen Sie seinen Impuls aus der Impuls-Energie.
b) Zeigen Sie, dass allgemein für ein Teilchen gilt:
. Berechnen Sie damit den Wert v/c
für das Elektron.
4. Die Ruheenergie eines Protons beträgt
rund 938 MeV. Berechnen Sie für den Fall, dass die kinetische
Energie ebenfalls den Wert 938 MeV hat,
a) seine Geschwindigkeit
b) seinen Impuls,
c) seine Gesamtenergie.
Lösungen
1. ![]()
2. E0 = 940 GeV: es könnte sich um ein Neutron handeln
3. a) p = 4,974 MeV/c b) v/c = 0,9948
4. a) v/c = 0,866 b) p =
1,625 GeV/c c) E = 1,327 GeV